■ 寬電感范圍測試: 0.1μH - 100μH
■ 脈沖測試電壓:10V - 1000V,1V步進
■ 波形采集:采樣率:200MHz
分辨率:12Bits
存儲深度:12k
樣本平均:1-32
■ 波形測量:波形、頻率、時間
■ 9種波形比較方式:面積、面積差、毛刺總量、最大毛刺、波峰比、波峰差、角頻率、衰減系數、品質因數
■ 10.1寸電容式觸摸屏,1280×800分辨率
■ Linux系統底層,中英文操作界面
■ 電感測量功能
線圈類產品(如變壓器、電機等)由于繞線材料、磁性材料、骨架、加工工藝等因素的影響會產生線圈層間、匝間及引腳間等絕緣性能的降低。TH2884系列脈沖式線圈測試儀是采用高速采樣技術研制的新一代線圈類產品絕緣性能的分析測試儀器。
TH2884將標準線圈的采樣波形存儲于儀器中,測試時將被測線圈的測試波形與標準波形比較,根據設定的判據(面積、面積差、毛刺總量、最大毛刺等)以判定被測線圈的優劣。本儀器集成了強大的功能、精密的測試手段、靈活的操作方法及多種接口方式,可為大多數線圈類產品提供測試解決方案。
快速選型 | TH2884 |
通道數 | 1 |
脈沖電壓 | 10V-1000V |
電感量測試范圍 | 0.1μH - 100μH |
脈沖能量 | 0.75J |
采樣率 | 200Msps |
分辨率 | 12 Bits |
存儲深度 | 12k |
A.低至0.1μH,高至100μH的寬電感測試范圍
TH2884脈沖式線圈測試儀是針對低感量繞線元件設計研發,最小可測試0.1μH線圈的層間、匝間短路。低感量線圈測試時相對常規線圈測試,更容易受測試線的等效電感分壓影響,所以雙同軸四端測試(激勵與采樣各兩端)的方式,可以采集到待測件兩端的真實信號。
由于低感量線圈的實際工作電壓較低,測試中也需要用到低壓脈沖。TH2884設計電壓為10V-1000V,最低測試電壓達10V,因此可有效提高低感量線圈的測試分辨能力。
B.試前測試,提前判斷潛在不良
試前測試是在正式測試前先以較低的電壓測試被測件,并利用最大毛刺及波峰差來判斷被測件是否有潛在的微短路不良。以防止正式測試的較大電壓燒蝕內部微短路處后絕緣改善引起的誤判。

C.線圈脈沖測試原理
脈沖測試法是對繞線元件施加一個非破壞性、高速、低能量的電壓脈沖。由于儲能電容(C1)與被測繞線元件并聯,脈沖電壓加載至并聯線路上后,產生LC諧振(Resonance),通過觀察諧振振蕩(Oscillations)的衰減情況即阻尼(Damping)來了解繞線元件內部線圈的狀態(包含線圈自身絕緣Rx、電感量Lx及并聯電容量Cx等狀態)。

用相同的電容器儲存相同的電壓,再通過相同寬度的脈沖放電施加至被測線圈與標準線圈,由于線圈電感量和Q值的存在,將響應一個對應于該放電脈沖的電壓衰減波形,比較兩者衰減振蕩波形可判斷線圈優劣。

上圖中的自激振蕩衰減振蕩波形直接和線圈的電感值L及品質因素Q值有著密切的關系,而L值及Q值又和線圈的圈數(層間、匝間短路,圈數差)、制造工藝(電極焊接不良),有導磁材料的情況下,還可判斷其材質的差別等;高壓脈沖下電暈放電的發生還可以對繞組層間或多個繞組間絕緣不良、磁芯絕緣不良進行判定。
當線圈匝間或者層間出現下列情況時,會呈現不同波形:



D.波形比較方式
TH2884脈沖式線圈測試儀將以往脈沖式線圈測試儀的四種比較模式擴展成為九種方式將被測件波形與儀器預存標準采樣波形進行比較:面積比較、面積差比較、毛刺總量比較、最大毛刺比較、波峰比比較、波峰差比較、角頻率及衰減系數比較、品質因數比較,九種方式有如下不同點:
1. 面積比較
任意指定的A-B區間內對被測線圈測試波形面積進行(積分)計算,并與標準波形在此區間內的面積進行比較,用這兩個波形面積的差異值與標準波形在此區間的面積的百分比作為判定依據,判定基準用百分比來設定。

波形面積近似地與能量損失成正比,故可使用面積比較方法來判斷線圈中的能量損耗情況,有效地檢測線圈層間和匝間短路。
2. 面積差比較
在任意指定A-B區間內對被測線圈測試波形和標準波形的Y軸方向的差異值進行計算(積分計算的結果為A-B區間內的陰影部分)和標準波形在此區間的面積比較,基準用百分比來設定。

面積差比較方法主要表現了電感量L的差異和能量的損耗,這個比較方法可以有效的檢測標準線圈和被測線圈的電感量L的差異。
3.毛刺總量比較
將沒有毛刺的標準波形和有毛刺的采樣波形分別進行一次微分計算,得到一次微分波形,在任意指定的A-B區間內將一次微分波形進行積分計算,對得到的標準波形、被測波形面積的差異值與設定值進行比較。

將沒有毛刺的標準波形和有毛刺的測試波形分別進行一次微分計算,得到一次微分波形,如圖所示。

在任意指定的A-B區間內對一次微分波形面積進行(積分)計算,并與標準波形在此區間內的面積進行比較,用這兩個波形面積的差異值與設定值進行比較。毛刺總量主要體現了待測線圈內部的放電數量,可直觀反映待測線圈的內部絕緣層破損所致短路打火的程度。
4. 最大毛刺比較
將沒有毛刺的標準波形和有毛刺的測試波形分別進行二次微分計算,得到二次微分波形,在任意指定的A-B區間內分別查找標準波形和測試波形二次微分波形最大值,兩個最大值的差異值和設定值進行比較。最大毛刺比較法可有效反映因電氣不良或電極焊接不良引起的放電程度。

5. 波峰比比較
將被測件自諧振波形的第一個峰值與第二個峰值計算出波峰比,與設定值進行比較。可直觀反映待測件相對標準品的等效并聯電阻與Q值差異。

6. 波峰差比較
將標準波形和測試波形波峰比進行比較,用這兩個波峰比的差異值與標準波形的波峰比的百分比作為判定依據,判定基準用百分比來設定。

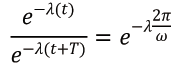
7. 角頻率ω、衰減系數λ比較(專利CN117192443)
自體諧振波形的振蕩波形可近似的表示為V=A·eλt·cos(ωt),ω即角頻率,λ即衰減系數,用同惠電子特有的最優化算法,根據離散的采樣點計算出角頻率和衰減系數,再與標準波形的角頻率和衰減系數進行比較,用差異值與標準波形的角頻率和衰減系數的百分比作為判定依據,判定基準用百分比來設定。
8. 品質因數比較
理論上λ=0時,無阻尼震蕩,波峰間隔固定即為周期
指數函數的性質導致固定間隔T的比值也固定(即波峰比)。

可精確反映測試品與標準品之間品質因素Q的微小差異。
E. 破壞測試功能
雖然線圈匝間短路和層間短路測試與施加電壓大小關系不是很大,但是線圈內絕緣狀態測試中,施加的脈沖電壓幅度是一個很重要的問題。如何設置合適的測試電壓呢?
除了行業內的規定電壓外,對于新品或試驗性的,可以通過該測試功能來找到適合的測試電壓。
■ 電機線圈匝間絕緣/層間短路測試
■ 變壓器線圈匝間絕緣/層間短路測試
■ 繞線電感線圈匝間絕緣/層間短路測試
型號 | TH2884 | |
輸出通道 | 1 | |
脈沖電壓 | 范圍 | 10V-1000V |
步進 | 1V | |
| 采樣精度 | ± [1% 設定值 x (1+0.5μH / Lx) + 2% 滿量程] | |
電感量測試范圍 | 0.1μH-100μH | |
脈沖能量 | 0.75J | |
測量速度 | 16ms (脈沖數1,ACQ寬度) | |
施加脈沖數 | 測試脈沖 | 1-32 |
勵磁脈沖 | 0-9 | |
輸入阻抗 | 4MΩ | |
顯示器 | 10.1寸電容式觸摸屏,1280×800 | |
波形采集 | 采樣率 | 200MSPS/5ns |
位寬 | 12Bits | |
采樣深度 | 12k | |
樣本平均 | 1-32 | |
比較方式 | 面積、面積差、毛刺總量、最大毛刺、波峰比、波峰差、角頻率、衰減系數、品質因數 | |
波形測量 | 電壓、時間、頻率 | |
觸發方式 | 手動/外部/總線 | |
判別輸出 | PASS/FAIL顯示、LED燈顯示、蜂鳴器報警 | |
測量統計 | 測量結果的統計功能 | |
存儲器 | 內部 | 32G |
U盤 | 可擴展 | |
接口 | RS232C、USB DEVICE、USB HOST、LAN、HANDLER | |
電源 | 供電 | 110V/220V±10% ,50Hz/60Hz ±5% |
功耗 | ||
工作環境 | 溫度 | 0℃ - 40℃ |
濕度 | ≤75%RH | |
安全和電磁兼容 | IEC61010-1:2001,IEC61326-2-1:2005 | |
體積(mm) | 430mm×177mm×570mm | |
重量 | 約27kg | |